Dahili direnç, Akü enerji depolama sistemi (BESS) için ve akü yönetim sistemindeki (BMS) lityum iyon piller için önemli bir elektriksel değerdir. İç direnç, omik direnç ve polarizasyon direncinden oluşur. Bunların hiçbiri doğrudan ölçülemez ve akü şarj/deşarj deney verileriyle bazı algoritmalar tarafından tanımlanırlar. Bu yazıda, iç direncin araştırılması için birkaç 10Ah LiFePO 4 hücresi kullanılmıştır. LiFePO 4 hücreleri için bir elektrik modeline dayalı olarak, ohmik direnç ve polarizasyon direnci tahmini yöntemleri kullanıldı. Hücre özellikleri, özellikle şarj durumu (SOC Şarj durumu) ne çok yüksek ne de çok düşük olduğunda, darbe şarj ve deşarj deney verileriyle analiz edildi. Sonuçlar, ohmik direnç ve polarizasyon direncinin aynı büyüklük mertebesinde kaldığını göstermektedir. Ayrıca, omik direnç, akım ve akım varyasyonu ile nispeten az değişir. Bu arada, omik direnç, farklı SOC'lerde tutarlı bir şekilde sorumlu olmaya devam eder. Ancak azalan SOC/(Akü şarj durumu) ile deşarjda kademeli olarak artar. Genel olarak, polarizasyon direnci hem şarjda hem de deşarjda artarken, SOC'de yaklaşık %70'lik bir ters değişim vardır. Bu sonuç, özellikle SOC veya sağlık durumu (SOH Akü ömür Durumu) tahmini için belirli sorunlar için doğru direnç geliştirmede faydalıdır.

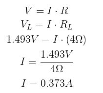
Devreden (I) geçen akımı elde etmek için ölçtüğümüz yüklü voltajı (VL) ve direncin (RL) değerini Ohm Yasasına bağlayabiliriz.

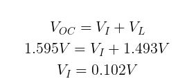
Ayrıca gerilimi dahili direnç üzerinden almamız gerekir. Bunu Kirchhoff'un Gerilim Yasasını kullanarak yapabiliriz. Bu devre için basitleştirilmiş olarak, her iki dirençteki voltaj düşüşünün ideal voltaj kaynağının voltajına eklenmesi gerektiğini söyleyebiliriz.

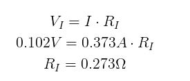
Artık dahili direnç üzerindeki voltaj düşüşünü ve içinden geçen akımı bildiğimize göre, direncini bulmak için tekrar Ohm Yasasını kullanabiliriz.

Bu yöntemle ancak iç direncin anlık görüntüsünü alabiliyoruz. Dahili direnç, pil yaşı ve sıcaklığı gibi şeylere göre değişebilir. 10 dakika içinde direnç değeri farklı olabilir! Ortak bir AA alkalin pil, 0,1 Ω ile 0,9 Ω arasında herhangi bir yerde dahili dirence sahip olabilir.stance_calculation4.jpg[/img]
Bundan, AA hücresinin iç direncinin (şu anda) 0.273 Ω olduğunu görebiliriz.